
温度测量应用非常广泛,不仅生产工艺需要温度控制,有些电子产品还需对它们自身的温度进行测量,如计算机要监控CPU的温度,马达控制器要知道功率驱动IC的温度等等,下面介绍几种常用的温度传感器。
温度是实际应用中经常需要测试的参数,从钢铁制造到半导体生产,很多工艺都要依靠温度来实现,温度传感器是应用系统与现实世界之间的桥梁。本文对不同的温度传感器进行简要概述,并介绍与电路系统之间的接口。
热敏电阻器
用来测量温度的传感器种类很多,热敏电阻器就是其中之一。许多热敏电阻具有负温度系数(NTC),也就是说温度下降时它的电阻值会升高。在所有被动式温度传感器中,热敏电阻的灵敏度(即温度每变化一度时电阻的变化)最高,但热敏电阻的电阻/温度曲线是非线性的。
表1是一个典型的NTC热敏电阻器性能参数。

这些数据是对Vishay-Dale热敏电阻进行量测得到的,但它也代表了NTC热敏电阻的总体情况。其中电阻值以一个比率形式给出(R/R25),该比率表示当前温度下的阻值与25℃时的阻值之比,通常同一系列的热敏电阻器具有类似的特性和相同电阻/温度曲线。以表1中的热敏电阻系列为例,25℃时阻值为10KΩ的电阻,在0℃时电阻为28.1KΩ,60℃时电阻为4.086KΩ;与此类似,25℃时电阻为5KΩ的热敏电阻在0℃时电阻则为 14.050KΩ。

图1是热敏电阻的温度曲线,可以看到电阻/温度曲线是非线性的。
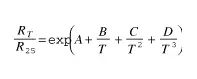
虽然这里的热敏电阻数据以10℃为增量,但有些热敏电阻可以以5℃甚至1℃为增量。如果想要知道两点之间某一温度下的阻值,可以用这个曲线来估计,也可以直接计算出电阻值,计算公式如下:

这里T指开氏绝对温度,A、B、C、D是常数,根据热敏电阻的特性而各有不同,这些参数由热敏电阻的制造商提供。
热敏电阻一般有一个误差范围,用来规定样品之间的一致性。根据使用的材料不同,误差值通常在1%至10%之间。有些热敏电阻设计成应用时可以互换,用于不能进行现场调节的场合,例如一台仪器,用户或现场工程师只能更换热敏电阻而无法进行校准,这种热敏电阻比普通的精度要高很多,也要贵得多。
图2是利用热敏电阻测量温度的典型电路。电阻R1将热敏电阻的电压拉升到参考电压,一般它与ADC的参考电压一致,因此如果ADC的参考电压是5V,Vref也将是5V。热敏电阻和电阻串联产生分压,其阻值变化使得节点处的电压也产生变化,该电路的精度取决于热敏电阻和电阻的误差以及参考电压的精度。

自热问题
由于热敏电阻是一个电阻,电流流过它时会产生一定的热量,因此电路设计人员应确保拉升电阻足够大,以防止热敏电阻自热过度,否则系统测量的是热敏电阻发出的热,而不是周围环境的温度。
热敏电阻消耗的能量对温度的影响用耗散常数来表示,它指将热敏电阻温度提高比环境温度高1℃所需要的毫瓦数。耗散常数因热敏电阻的封装、管脚规格、包封材料及其它因素不同而不一样。
系统所允许的自热量及限流电阻大小由测量精度决定,测量精度为±5℃的测量系统比精度为±1℃测量系统可承受的热敏电阻自热要大。
应注意拉升电阻的阻值必须进行计算,以限定整个测量温度范围内的自热功耗。给定出电阻值以后,由于热敏电阻阻值变化,耗散功率在不同温度下也有所不同。
有时需要对热敏电阻的输入进行标定以便得到合适的温度分辨率,图3是一个将10~40℃温度范围扩展到ADC整个0~5V输入区间的电路。
运算放大器输出公式如下:
一旦热敏电阻的输入标定完成以后,就可以用图表表示出实际电阻与温度的对应情况。由于热敏电阻是非线性的,所以需要用图表表示,系统要知道对应每一个温度ADC的值是多少,表的精度具体是以1℃为增量还是以5℃为增量要根据具体应用来定。
累积误差
用热敏电阻测量温度时,在输入电路中要选择好传感器及其它元件,以便和所需要的精度相匹配。有些场合需要精度为1%的电阻,而有些可能需要精度为0.1%的电阻。在任何情况下都应用一张表格算出所有元件的累积误差对测量精度的影响,这些元件包括电阻、参考电压及热敏电阻本身。
如果要求精度高而又想少花一点钱,则需要在系统构建好后对它进行校准,由于线路板及热敏电阻必须在现场更换,所以一般情况下不建议这样做。在设备不能作现场更换或工程师有其它方法监控温度的情况下,也可以让软件建一张温度对应ADC变化的表格,这时需要用其它工具测量实际温度值,软件才能创建相对应的表格。对于有些必须要现场更换热敏电阻的系统,可以将要更换的元件(传感器或整个模拟前端)在出厂前就校准好,并把校准结果保存在磁盘或其它存储介质上,当然,元件更换后软件必须要能够知道使用校准后的数据。

总的来说,热敏电阻是一种低成本温度测量方法,而且使用也很简单,下面我们介绍电阻温度探测器和热电偶温度传感器。
电阻温度探测器
电阻温度探测器(RTD)实际上是一根特殊的导线,它的电阻随温度变化而变化,通常RTD材料包括铜、铂、镍及镍/铁合金。RTD元件可以是一根导线,也可以是一层薄膜,采用电镀或溅射的方法涂敷在陶瓷类材料基底上。
RTD的电阻值以0℃阻值作为标称值。0℃ 100Ω铂RTD电阻在1℃时它的阻值通常为100.39Ω,50℃时为119.4Ω,图4是RTD电阻/温度曲线与热敏电阻的电阻/温度曲线的比较。RTD的误差要比热敏电阻小,对于铂来说,误差一般在0.01%,镍一般为0.5%。除误差和电阻较小以外,RTD与热敏电阻的接口电路基本相同。
热电偶
热电偶由两种不同金属结合而成,它受热时会产生微小的电压,电压大小取决于组成热电偶的两种金属材料,铁-康铜(J型)、铜-康铜(T型)和铬-铝(K型)热电偶是最常用的三种。
热电偶产生的电压很小,通常只有几毫伏。K型热电偶温度每变化1℃时电压变化只有大约40μV,因此测量系统要能测出4μV的电压变化测量精度才可以达到0.1℃。
由于两种不同类型的金属结合在一起会产生电位差,所以热电偶与测量系统的连接也会产生电压。一般把连接点放在隔热块上以减小这一影响,使两个节点处以同一温度下,从而降低误差。有时候也会测量隔热块的温度,以补偿温度的影响(图5)。

测量热电偶电压要求的增益一般为100到300,而热电偶撷取的噪声也会放大同样的倍数。通常采用测量放大器来放大信号,因为它可以除去热电偶连线里的共模噪声。市场上还可以买到热电偶信号调节器,如模拟器件公司的AD594/595,可用来简化硬件接口。
固态热传感器
最简单的半导体温度传感器就是一个PN结,例如二极管或晶体管基极-发射极之间的PN结。如果一个恒定电流流过正向偏置的硅 PN结,正向压降在温度每变化1℃时会降低1.8mV。很多IC利用半导体的这一特性来测量温度,包括美信的MAX1617、国半的LM335和LM74 等等。半导体传感器的接口形式多样,从电压输出到串行SPI/微线接口都可以。
温度传感器种类很多,通过正确地选择软件和硬件,一定可以找到适合自己应用的传感器。
来源:国际电子商情
转载链接:https://mp.weixin.qq.com/s/TeLEg2MaYYNlZzORS0vEYQ
观点仅代表作者本人,不代表本站立场。
关注我们